Содержание
Синдемик (Syndemic) – концентрация двух или более болезней, где существует такое их взаимоотношение, которое увеличивает негативное влияние на здоровье одного или нескольких сосуществующих заболеваний.
Тезисы:
- Лица с множественными инфекциями имеют более высокий уровень различных факторов риска.
- Мужской гомосексуализм (МСМ) был связан с более высокими рисками всех вариантов коинфекции ВИЧ.
- Потребление инъекционных наркотиков наиболее сильно связано с тройной инфекцией и коинфекцией ВИЧ / ВГС.
- МСМ, употребляющие инъекционные наркотики, в 2-4 раза превышал риск ВГВ, ВИЧ, ВГВ / ВИЧ, ВГС / ВИЧ и ВГВ / ВГС / ВИЧ по сравнению с другими группами.
- Лица, не употребляющие наркотики, пациенты с психическими заболеваниями, употребляющие алкоголь, и иные лица, подверженные материальной депривации, связаны с более высокими рисками различных вариантов моно- и коинфекций.
- В исследовании подчеркивается наличие синдэктиков УН, травматичных сексуальных практик, психических заболеваний, социально-экономического положения с распространением инфекций.
Врачи отмечают, что вирусные гепатиты С и В, а также ВИЧ представляют собой серьезные проблемы общественного здоровья, требующие комплексного подхода к диагностике и лечению. Исследования показывают, что распространенность этих инфекций в населении варьируется в зависимости от региона и социально-экономических факторов. ВГС, как правило, протекает бессимптомно на ранних стадиях, что затрудняет его раннюю диагностику. ВГВ может привести к хроническим заболеваниям печени, включая цирроз и рак. ВИЧ, в свою очередь, требует постоянного мониторинга и антиретровирусной терапии для поддержания качества жизни пациентов. Врачи подчеркивают важность профилактических мер, таких как вакцинация против ВГВ и информирование населения о путях передачи ВИЧ, чтобы снизить заболеваемость и улучшить исходы лечения.

Введение
Несмотря на успехи в лечении и профилактике, вирус иммунодефицита человека (ВИЧ), вирус гепатита B (ВГВ) и вирус гепатита C (ВГС) по-прежнему составляют значительную проблему общественного здравоохранения. Несмотря на высокое распространение в Африке, Азии и на Ближнем Востоке, эти вирусные инфекции влияют на значительную часть населения Северной Америки. Недавние оценки показывают, что 136 000-246 000 канадцев инфицированы ВГС, тогда как более 75 500 живут с ВИЧ и 285 000 с ВГВ; однако доля пациентов с множественными совместными инфекциями пока неизвестна.
Каждая из этих инфекций обуславливает значительный рост заболеваемости и смертности. Согласно оценкам Global Burden of Disease, ВИЧ и гепатит были напрямую связаны с более чем 1,6 миллионами смертей в 2016 году. Применение новых препаратов резко увеличило продолжительность жизни, уменьшили заболеваемость и смертность для пациентов инфицированных ВИЧ; однако заболеваемость и смертность от ВГС возрастают. Ожидалось, что появление высокоэффективных противовирусных препаратов прямого действия (ПППД) остановит рост заболеваемости и смертности от ВГС. В сочетании эти инфекции (ВИЧ, ВГС, ВГВ) повышают риск смертности по сравнению с моноинфекцией. Улучшение терапевтических стандартов для ВГС и ВИЧ может снизить смертность и риск развития сопутствующих патологий; однако эти изменения не затрагивают основополагающих факторов, которые приводят как к первичному так и повторному инфицированию.
Предыдущие исследования, посвященные изучению коинфекции ВИЧ / ВГС, предполагали, что распределение ряда факторов может варьироваться в разных группах пациентов. У лиц с коинфекцией наблюдается более высокий уровень риска который включает социально-экономические и психосоциальные условия, психические заболевания, употребление наркотиков, алкоголя и стесненные условия жизни. Концепция взаимодействия социальных условий и уязвимостей отчетливо показывает, что данные факторы являются синдемическими, ведут к кластеризации инфекций и связанной с ними повышенной заболеваемости и смертности. Теория синдемии представляет собой важную основу для исследования совместного возникновения болезней и зависимости от социальных условий, которые могут дать существенный толчок к разработке новых программ общественного здравоохранения для решения проблем на индивидуальном и популяционном уровнях.
Хотя коинфекция ВГС / ВИЧ широко изучена, накоплено очень мало данных о совместном возникновении тройной инфекции на популяционном уровне. Масштабные, популяционные исследования, которые исследуют совместное появление инфекций, а также основные риски и социальные условия, к сожалению ограничены. В предыдущих исследованиях основное внимание уделялось коинфекции ВГС, ВГВ и ВИЧ среди подгрупп населения, в том числе тех, кто занимается уходом за ВИЧ-положительными, и людей употребляющих инъекционные наркотики; однако данные группы не сравнивались с неинфицированными индивидами в общей популяции. Для понимания риска коинфекций и тройной инфекции важно сравнение с контрольной группой. Это может дать понимание пути создания программ борьбы с инфекциями и одновременных снижением рисков вызванных социально-бытовыми условиями.
Данная аналитическая работа использует информацию Группы Изучения Гепатита (ГИГ) для описания синдемии ВИЧ, ВГВ и ВГС-инфекций на популяционном уровне Британской Колумбии (БК) и определения моделей предрасполагающих факторов, инфицированных подгрупп. Мы также оценивали взаимодействия между основными факторами, которые способствуют риску заражения несколькими инфекциями, восполняя большой пробел в последних сериях исследований по данному вопросу.
2. Методы
В последние годы исследования, посвященные характеристикам вируса гепатита С (ВГС), вируса гепатита В (ВГВ) и вируса иммунодефицита человека (ВИЧ), становятся все более актуальными. Люди отмечают, что важность таких исследований заключается не только в выявлении распространенности этих инфекций, но и в понимании их влияния на здоровье населения. Многие респонденты подчеркивают, что осведомленность о путях передачи и методах профилактики играет ключевую роль в борьбе с этими заболеваниями.
Кроме того, участники опросов часто говорят о стигматизации, с которой сталкиваются носители ВИЧ и гепатитов. Это создает дополнительные барьеры для диагностики и лечения. Важно, чтобы общество осознавало, что эти вирусы не определяют личность человека, и поддерживало инициативы по образованию и информированию. В целом, исследования показывают, что комплексный подход к проблеме, включая медицинские, социальные и образовательные аспекты, может значительно улучшить ситуацию и снизить уровень заболеваемости.

2.1. Выборка
Этот анализ основан на данных БК ГИГ, который подробно описан в предыдущей публикации. БК ГИГ включает всех людей, прошедших исследование на ВГС или ВИЧ в Центре общественного здравоохранения Британского центра по контролю за заболеваниями (BCCDC-PHL) в период с 1992 по 2013 год, а также случаев ВИЧ (1980-2013), ВГС (1990-2013), ВГВ (1990-2013) и активного туберкулеза (1990-2013), включенных в реестры общественного здравоохранения отчетных заболеваний в БК. Эти данные интегрированы, используя уникальный персональный номер идентификатор, присвоенный каждому жителю БК, с данными о медицинских визитах, госпитализациях, отпускаемых по рецепту лекарствах и смертельных случаях. БК ГИГ также включает данные о факторах риска по зарегистрированным случаям заболеваний, а также благодаря системе PharmaNet все рецепты, включая терапию ВГС.
2.2. Критерии
Этот анализ включал всех людей, которые были исследованы по поводу выявления ВГС или ВИЧ в период с 1992 по 2013 год, или позитивных по отношению к ВИЧ (1980-2013), ВГС (1990-2013) или ВГВ (1990-2013).

2.3. Кoинфекции
Все индивидуумы были классифицированы на основе отношения коинфекций (ВИЧ, ВГС и ВГВ), включая комбинации с одной, двойной и тройной инфекциями (рис.1). Отрицательная группа включала лиц, негативным определением ВГС или ВИЧ, либо отсутствием записей о данных инфекциях.
Рисунок 1. Блок-схема иллюстрирующая критерии отбора и распределения участников для анализа.
2.4. Пол и сексуальная ориентация
Значение пола и сексуальной ориентации стратифицировали мужчин в подгруппы как мужчин, имеющих половые контакты с мужчинами (МСМ) и гетеросексуальных (не-МСМ). Данные о сексуальной ориентации не были доступны для всех участников исследования. Мы создали и подтвердили показатель с использованием подмножества данных по ВИЧ (N = 5382), предсказывающий статус МСМ, по которым была известна сексуальная ориентация. Была разработана обобщенная линейная модель для прогнозирования того, могут ли мужчины участвовать в сексуальной активности с другими мужчинами (специфичность: 91%), используя следующие переменные: посещение клиник, предоставляющих услуги гомосексуальным и бисексуальным мужчинам, проживание в районе с более высоким процентом мужчин которых можно идентифицировать по признакам МСМ, ВИЧ и истории заболеваний передаваемых половым путем (ЗПП) и употребление психоактивных веществ. Учитывая специфическое разделение мужчин, наша переменная включала в себя три группы: МСМ, мужчины, не являющиеся МСМ, и женщины / неизвестные.
2.5. Социально-демографические данные
Возрастная группа и диагностические переменные определялись либо по дате диагностики для самой последней обнаруженной инфекции, либо, если отрицательного определения ВИЧ, ВГВ или ВГС. Для определения социально-экономического статуса на уровне соседних районов использовался квебекский индекс материального и социального статуса с использованием данных канадской переписи для избранных районов проживания. Материальная составляющая индекса была получена из показателей занятости населения и доходов, в то время как социальная составляющая была основана на показателях семейного положения и структуры семьи. Классификация городов / сельских районов основывалась на определении Статистического управления Канады, где «городская территория» определяется как имеющая население не менее 1000 человек и плотность 400 или более человек на квадратный километр. Вся территория за пределами городской была определена как сельская местность.
2.6. Наркологические и психические заболевания
Оценка употребления инъекционных наркотиков (ОУИН), основных психических заболеваний и употребления алкоголя была основана на соответствующих обращениях за медицинской помощью и госпитализаций с подтверждением в соответствующих базах данных.
2.7. Статистический анализ
Мы описали распределение демографических факторов и потенциальных факторов риска между группами коинфекции. Мы оценили ассоциации между потенциальными рисками, ковариантами и коинфекционными группами с использованием многопараметрической многомерной логистической регрессии. Пояснительные переменные были отобраны на основе гипотетических причинно-следственных путей, которые были описаны в существующей литературе, включая недавний анализ БК ГИГ, характеризующий синдемию ВИЧ и ВГС. К ним относятся возраст, связанный с диагнозом, гендерной и сексуальной ориентацией, урбанистикой, основными психическими заболеваниями, употреблением алкоголя и УН, а также социальными и материальными трудностями. Год диагностики также был включен для корректировки возможных различий среди объектов исследования.
Учитывая хорошо описанную гетерогенность и рискованного поведения среди группы МСМ, особенно связанных с употреблением наркотиков, и для понимания природы синдема, мы исследовали их синергетическое и модифицирующее воздействие на появление различных инфекций с использованием стратифицированного анализа, где когорта была стратифицирована по употреблению наркотических средств, при этом каждая подгруппа анализировалась с использованием многомерной логистической регрессии для получения характеристики отличий. Отдельный многовариантный многолинейный логистический регрессионный анализ также включал взаимодействие между УН, полом и сексуальной ориентацией для дальнейшего изучения потенциальной гетерогенности.
Оценка данных, описательный анализ и визуализация выполнялись с использованием статистического программного обеспечения R (версия 3.3.2), а SAS (версия 9.4) использовалась для многомерной логистической регрессии.
Данное исследование было одобрено Советом по этике Университета Британской Колумбии (H15-01776).
3. Результаты
В исследование было включено 1 376 989 человек, из которых 1 276 290 были классифицированы как отрицательные по отношению к ВИЧ, ВГВ или ВГС. У большинства инфицированных была одна инфекция, наиболее распространенной моноинфекция ВГС (N = 59,096). Значительно меньше людей имели двойные инфекции, наиболее распространенными были ВГВ / ВГС (n = 3991) и ВИЧ / ВГС (n = 3459). Только у 1180 человек была тройная инфекция. Среди ВИЧ-инфицированных чаще (51,2%) встречались двойные или тройные инфекции, чем среди группы с ВГВ (18,0%) или ВГС (12,7%).
Рисунок 2. Диаграмма Венна, иллюстрирующая количество индивидуумов в каждой группе.
Большинство людей проживали в городских районах, причем самая низкая доля касалась лиц с моноинфекцией ВГС (83,6%). Лица с коинфекцией ВГС, в том числе с тройной инфекцией (39,1%), а также инфекциями ВГС / ВИЧ (36,1%) и ВГВ / ВГС (30,8%) проживали в материально неблагополучных районах. Напротив, люди с ВИЧ проживали в социально неблагополучных районах, в том числе группа с тройными (49,1%), двойными инфекциями ВГС / ВИЧ (50,1%) и ВГВ / ВИЧ (53,1%) и моноинфекция ВИЧ(47,5%).
У лиц с тройными инфекциями была самая высокая доля УН (71,6%), высокий уровень употребление алкоголя (43,3%) и часто встречались психические заболевания (43,1%), за ними следуют люди с ВИЧ / ВГС (46,4%, 30,1%, 26,4%) и ВГВ / ВГС (35,4%, 26,7%, 26,4%), соответственно. У лиц с моноинфекцией ВГВ была самая низкая доля УН (1,4%), употребление алкоголя (1,6%) и основные психических заболеваний (4,7%).
3.1. Факторы, связанные с группами коинфекции
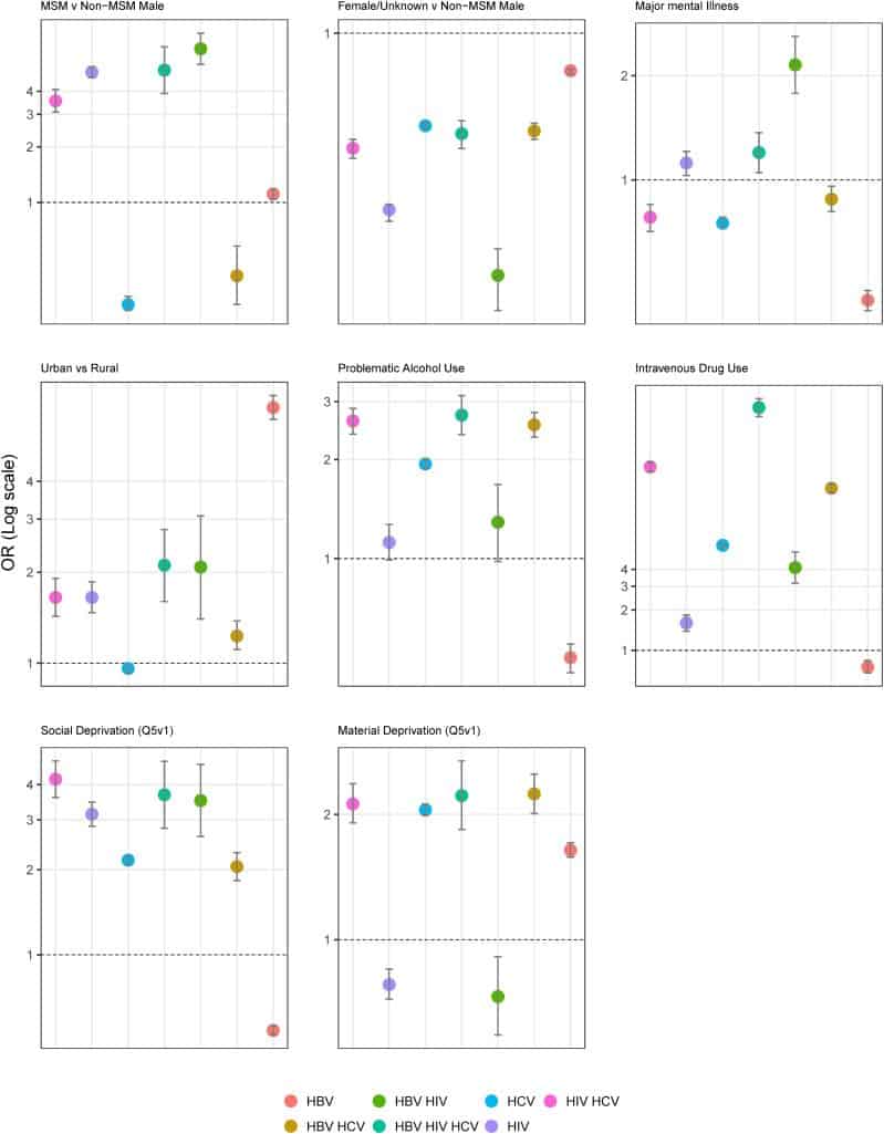
Группа МСМ была связана с более высокими рисками всех инфекций, хотя эта связь была наибольшей для ВГВ/ВИЧ, а затем тройной инфекции. МСМ с меньшей вероятностью имели коинфекцию ВГВ / ВГС (OR 0,4, 95% ДИ: 0,28, 0,58) и моноинфекцию ВГС (OR 0,28, 95% ДИ: 0,26, 0,31).
УН был связан с увеличением вероятности всех инфекций, за исключением моноинфекции ВГВ (OR: 0,75; 95% ДИ: 0,68, 0,84). Связь была наибольшей для тройной инфекции (OR 64,19, 95% ДИ: 55,11, 74,77), а затем ВИЧ / ВГС (OR 23,23, 95% ДИ: 21,32, 25,31) и ВГВ / ВГС (OR 16,11, 95% ДИ: 14,82, 17,52). Злоупотребление алкоголем показало сходную схему ассоциации, хотя и меньшим количеством ассоциаций для всех групп ко-инфицирования, за исключением моноинфекции ВГВ (OR 0,5, 95% ДИ: 0,45, 0,55). Меньшие ассоциации наблюдались при психических заболеваниях, при этом, наибольшая связь наблюдалась при коинфекции ВГВ / ВИЧ (OR 2,15, 95% ДИ: 1,78, 2,6), тогда как пациенты с серьезными психическими заболеваниями были менее склонны к положительному выявлению моноинфекции ВГВ (OR 0,45; 95% ДИ: 0,42, 0,48).
Урбанизация ассоциировалась с более высокими коэффициентами распространения моно- и коинфекций, особенно моноинфекцией ВГВ (OR 7,02, 95% ДИ: 6,42, 7,69). Проживание в районах с высокой социальной депривацией также было связано с более высокой вероятностью большинства коинфекций; однако, наблюдалась более низкий уровень вероятности моноинфекции ВГВ (OR 0,54, 95% ДИ: 0,52, 0,56). Парадоксальная закономерность ассоциативных связей наблюдалась в связи материальной депривацией. Высокая материальная депривация была связана с более высокими шансами моноинфекции ВГВ (OR 1,64, 95% ДИ: 1,58, 1,71), моноинфекцией ВГС (OR: 2,05, 95% ДИ: 1,99, 2,12), ВГВ / ВГС (OR: 2,24, 95% ДИ: 2,01, 2,5), коинфекция ВГС / ВИЧ (OR: 2,12, 95% ДИ: 1,91, 2,37) и тройная инфекция (OR: 2,22, 95% ДИ: 1,84, 2,69), тогда как шансы моноинфекции ВИЧ (OR 0,78; 95% ДИ: 0,72, 0,85) и коинфекции ВГВ / ВИЧ (ОР 0,73; 95% ДИ: 0,59, 0,91) были ниже среди пациентов с более высокой материальной депривацией. (Рисунок 3)
Рисунок 3. Сравнение для групп коинфекции ВГВ, ВГС и ВИЧ, полученных из многопараметрической модели многомерной логистической регрессии, стратифицированной по выбранным характеристикам, БК ГИГ, 1990-2013. Пунктирная линия представляет собой уровень нулевого воздействия.
3.2. Влияние инъекционного употребления наркотиков
Мы стратифицировали регрессионные модели по статусу УН, чтобы понять, отличается ли влияние различных факторов на УН. В целом, связь различных факторов с инфекционными группами различалась между людьми в зависимости от истории УН. Среди них была выявлена ассоциация между группами МСМ и УН с более высокими рисками инфекций, а среди лиц не-УН, имеющих серьезные психические заболевания, употребление алкоголя и проживание в районах с высоким материальными трудностями, связанным с более высокими вероятностями риска различных вариантов ко-инфекции и тройной инфекции. МСМ, применявшие внутривенные наркотические средства, имели в 2-4 раза более высокий уровень риска ВГВ, ВИЧ, ВГВ / ВИЧ, ВГС / ВИЧ и ВГВ / ВГС / ВИЧ по сравнению с группой не-МСМ.
4. Обсуждение
Это одно из крупнейших популяционных когортных исследований в Северной Америке, и первое включающее в себя все диагностированные случаи ВИЧ, ВГС и ВГВ, в дополнение к группе неинфицированных лиц. Мы определили, что УН ассоциируется с более высокими коэффициентами риска для всех групп, за исключением ВГВ, с наибольшими ассоциациями с ВИЧ / ВГС, коинфекцией ВГВ / ВГС и тройной инфекцией. МСМ также имеет более высокие значения риска ВИЧ, ВГВ / ВИЧ, ВИЧ / ВГС и тройной инфекции. Моноинфекция ВГВ была в первую очередь связана с жизнью в городе и более высоким уровнем материальных затруднений. Стратификация УН выявила в 2-4 раза более высокие значения риска ВГВ, ВИЧ, ВГВ / ВИЧ, ВГС / ВИЧ и ВГВ / ВГС / ВИЧ среди лиц МСМ, которые употребляли наркотики, по сравнению с теми, кто не употребляет. Напротив, среди лиц не употребляющих наркотики, имеющих психические заболевания, употребления алкоголя и сильную материальную депривацию наблюдался более высокие значения риска различных моно- и коинфекций. Эти закономерности подчеркивают наличие синдемиков УН, травматичных сексуальных практик, психических заболеваний, социально-экономических затруднений и их связью с распространением инфекций. Благодаря лучшему пониманию состава и контекста этих рисков, мы можем адаптировать медицинскую помощь с учетом потребностей конкретных групп населения.
Большинство инфекций наблюдается в популяциях с множественными факторами риска. Эта было особенно очевидно среди лиц с тройной инфекцией, которые чаще употребляли наркотики, имели предшествующие психические заболевания и были социально и материально неблагополучны. В частности, величина ассоциации УН с тройной инфекцией была выше, чем другие факторы риска. В группе МСМ также были более высокие шансы тройной инфекции, хотя величина ассоциации была ниже, чем у группы употребвших наркотики. Подобно тройной инфекции, УН также ассоциировался с более высокими рисками других инфекций.
Среди МСМ наблюдались более высокие шансы на моно- или коинфекцию ВИЧ. Наибольшая доля МСМ была связана с ВИЧ-инфекцией и группами коинфекции ВИЧ / ВГВ.
Стратификация лиц УН показала, что МСМ, которые применяют внутривенные наркотики, имеют вероятность тройной инфекции в 3 раза выше, ~ в 4 раза больший риск коинфекции ВГВ / ВИЧ и моноинфекции ВИЧ, в 5 раз больший риск ВГВ и в 2 раза больший риск ВИЧ/ВГС по сравнению с МСМ не употребляющими наркотики. Это говорит о гетерогенности среди данной группы, причем наиболее вероятным фактором передачи является УН. В настоящее время медицинская помощь адаптированная к контекстным потребностям группы МСМ, существенно ограничена. Поскольку ВГВ чаще встречается среди МСМ, живущих с ВИЧ, возможность интеграции терапии ВГВ должна быть включена в существующие антиретровирусные схемы.
В отличие от других групп с коинфекцией, лица с моноинфекцией ВГВ менее склонны жить в районах социальной депривации, однако связь с материальным благосостоянием сохраняется. Несмотря на то что распространенность ВИЧ, ВГС и ВГВ, как известно, выше среди иммигрантов и коренных народов, данные об этих группах недоступны для анализа.
Совместное появление инфекций и факторов риска, описанных в этом исследовании, свидетельствует о наличии уникальных синдемиков среди людей с ВГС, ВИЧ и ВГВ живущих в Британской Колумбии. Необходим дальнейший анализ и исследования для понимания лежащего в основе взаимодействия и их влияние на приобретение инфекций, а также обобщение и сравнение с другими регионами Канады. Идентификация данных синдемиков позволяет лучше понять структуру передачи, а также существенные условия, которые могут быть использованы для эффективного управления эпидемиологии данных заболеваний посредством оптимальной интеграции различных услуг и медицинской помощи, необходимых для лечения данных инфекций и прерывания путей передачи в зависимости от групп населения.
Источник:
5 November 2018
Коллектив авторов:
Geoffrey McKee, Zahid A. Butt, Stanley Wong, Travis Salway, Mark Gilbert, Jason Wong, Maria Alvarez, Nuria Chapinal, Maryam Darvishian, Mark W. Tyndall, Mel Krajden, Naveed Z. Janjua
School of Population and Public Health, University of British Columbia, Vancouver, British Columbia, Canada
British Columbia Centre for Disease Control, Vancouver, British Columbia, Canada
БКCDC Department of Pathology and Laboratory Medicine, University of British Columbia, Vancouver, British Columbia, Canada
Вопрос-ответ
Каковы основные симптомы ВГС и ВГВ?
Симптомы вирусного гепатита C (ВГС) и B (ВГВ) могут варьироваться от легких до тяжелых. На ранних стадиях инфекции многие люди не испытывают никаких симптомов. Однако, при развитии заболевания могут возникнуть усталость, желтуха, боли в животе, тошнота и потеря аппетита. Важно отметить, что у некоторых пациентов симптомы могут проявляться только через несколько месяцев или даже лет после заражения.
Как происходит передача ВИЧ и какие меры предосторожности следует соблюдать?
ВИЧ передается через контакт с инфицированными биологическими жидкостями, такими как кровь, сперма, вагинальные выделения и грудное молоко. Основные меры предосторожности включают использование презервативов при половом контакте, отказ от совместного использования игл и шприцев, а также регулярное тестирование на ВИЧ для выявления инфекции на ранних стадиях.
Какова роль скрининга в выявлении ВГС, ВГВ и ВИЧ в популяции?
Скрининг играет ключевую роль в раннем выявлении ВГС, ВГВ и ВИЧ, что позволяет начать лечение на ранних стадиях и снизить риск передачи вирусов другим. Регулярные тесты помогают выявить инфекцию даже у людей без явных симптомов, что способствует более эффективному контролю и профилактике заболеваний в популяции.
Советы
СОВЕТ №1
Изучите основные характеристики ВГС (вирусного гепатита С), ВГВ (вирусного гепатита В) и ВИЧ (вируса иммунодефицита человека), чтобы лучше понимать их влияние на здоровье. Знание симптомов и путей передачи поможет вам защитить себя и окружающих.
СОВЕТ №2
Регулярно проходите медицинские обследования и тесты на ВГС, ВГВ и ВИЧ, особенно если вы находитесь в группе риска. Раннее выявление заболеваний значительно увеличивает шансы на успешное лечение и минимизирует риск передачи вирусов другим.
СОВЕТ №3
Обратите внимание на важность профилактических мер, таких как вакцинация против ВГВ и использование средств защиты при половом контакте. Эти меры помогут снизить вероятность заражения и распространения вирусов.
СОВЕТ №4
Поддерживайте открытый диалог о ВГС, ВГВ и ВИЧ в своем окружении. Обсуждение этих тем поможет развеять мифы и стереотипы, а также повысит осведомленность о важности тестирования и лечения.





