Содержание
Введение
Заболевания печени стали ведущей причиной смертности у людей, живущих с ВИЧ (ЛЖВ), и зачастую они вызываются инфекцией вирусом гепатита С (ВГС). В странах с высоким уровнем дохода около 30% ВИЧ-позитивных людей коинфицированы ВГС, хотя их доля варьируется в зависимости от группы риска. До 70-90% ВИЧ-позитивных потребителей внутривенных наркотиков коинфицированы ВГС. В последние годы возросла заболеваемость ВГС среди группы ВИЧ-позитивных мужчин, имеющих половые контакты с мужчинами (МЖМ). В некоторых исследованиях наблюдается ускоренное прогрессирование фиброза, а высокая частота сероконверсий и реинфекций ВГС подчеркивает необходимость надежных прогнозов течения ВГС и подбора оптимальных терапевтических методов для данной группы пациентов. Успешное лечение ВГС значительно снижает риск декомпенсированного цирроза печени, гепатоцеллюлярной карциномы (ГЦК) и внепеченочных осложнений, но не устраняет их. Поскольку у ВИЧ-инфицированных людей есть несколько независимых факторов риска возникновения заболеваний печени, включая токсическое воздействие наркотиков и метаболические заболевания, они могут подвергаться повышенному риску осложнений, связанных с этими, даже после успешной терапии ВГС. На текущий момент нам неизвестно, можно ли отложить терапию пациента до стадии F3 по шкале METAVIR без повышения риска развития осложнений со стороны печени.
В течение последнего десятилетия стандартом лечения людей инфицированных ВГС было лечение пегилированным интерфероном-α (ИФН) плюс рибавирин (РБВ). Применение интерферона (ИФН) является сложным особенно среди ВИЧ-коинфицированных лиц, которые подвергаются высокому риску серьезных побочных эффектов и имеют низкую вероятность успешной терапии. Противовирусные препараты прямого действия (ПППД) произвели революцию в лечении ВГС, они очень эффективны, просты в использовании, легко переносятся и имеют ограниченный круг противопоказаний. Совокупно, эти факторы значительно увеличивают долю пациентов ЛЖВ, имеющих право на бесплатное лечение в рамках целевой программы. Тем не менее, очень высокая стоимость ПППД представляет собой основной барьер для широкомасштабного расширения перечня пациентов для включения в различные программы и является предметом острой дискуссии. Несмотря на то, что Европейская Ассоциация по изучению печени (EASL) в настоящее время рекомендует, чтобы пациенты имеющие коинфекцию ВИЧ+ВГС получали приоритетные квоты на прохождение терапии независимо от стадии фиброза, как правило группа пациентов с ВГС часто ограничивается лицами с прогрессирующим фиброзом печени.
Мы намеревались оценить влияние отсрочки лечения ВГС на осложнения, связанные с печенью, у ВИЧ-коинфицированных лиц с помощью модели прогрессирования заболевания печени.
Врачи подчеркивают, что отсрочка лечения вирусного гепатита С (ВГС) может иметь серьезные последствия для здоровья пациентов. Исследования показывают, что прогрессирование заболевания может привести к развитию цирроза и рака печени, что значительно усложняет дальнейшую терапию. Специалисты отмечают, что ранняя диагностика и своевременное начало лечения позволяют не только улучшить прогноз, но и снизить риск передачи вируса другим людям. Кроме того, современные методы лечения ВГС обладают высокой эффективностью и минимальными побочными эффектами, что делает их доступными для большинства пациентов. Врачи настоятельно рекомендуют не откладывать лечение и регулярно проходить обследования, чтобы избежать серьезных осложнений в будущем.

Методы
Мы использовали данные швейцарского Когортного исследования ВИЧ (SHCS) и современные литературные источники. SHCS — проспективное когортное исследование ЛЖВ, включающее 73% всех диагностированных пациентов с ВИЧ-инфекций в Швейцарии. Подробные демографические, клинические и лабораторные характеристики, генотипы ВГС, показатели лечения и предполагаемая продолжительность ВИЧ-инфекции собирались как в начале исследования, так и каждые шесть месяцев.
Мы разработали индивидуальную модель прогрессирования заболевания печени у ВИЧ/ ВГС коинфицированных пациентов из группы МЖМ. Мы оценили заболеваемость и смертность, связанные с печенью, а также медианное время, проведенное с репликацией инфекции ВГС у пациентов, получавших лечение на стадиях фиброза печени F0, F1, F2, F3 или F4 по шкале METAVIR.
Рисунок 1. Модель исследования.
Моделирование влияния отсрочки лечения вирусного гепатита С (ВГС) вызывает активные обсуждения среди специалистов и пациентов. Многие эксперты подчеркивают, что задержка в начале терапии может привести к серьезным последствиям, включая прогрессирование заболевания и развитие цирроза печени. Исследования показывают, что раннее вмешательство значительно повышает шансы на полное выздоровление и снижает риск осложнений.
Пациенты, в свою очередь, часто выражают опасения по поводу побочных эффектов лечения и финансовых затрат, что может стать причиной отсрочки. Однако, по мнению врачей, понимание долгосрочных последствий и потенциальных рисков от не лечения должно стать приоритетом. Важно, чтобы информация о преимуществах раннего лечения была доступна и понятна, что поможет людям принимать более обоснованные решения о своем здоровье.

Результаты
Сценарий SHCS
Этот сценарий основан на стратегии лечения ВГС до появления ПППД второго поколения. По нашим оценкам, у 46% смоделированных ВИЧ/ВГС-инфицированных лиц в течение жизни развился цирроз печени, у 11% — декомпенсированный цирроз и у 17% — ГЦК (Рис. 2). Из моделируемых лиц 27% умерли от причин, связанных с печенью, и 0,8% умерли от осложнений, связанных с печенью, после успешной терапии ВГС.
Рисунок 2. Сценарий SHCS.
А) Частота возникновения всех стадий фиброза (F0-F4), декомпенсированного цирроза (ДЦ) и гепатоцеллюлярной карциномы (ГЦК) с течением времени.
B) Процентная доля лиц, страдающих F4, ДЦ, ГЦК в течение своей жизни или умирающих от патологий печени.
Сценарий использования ПППД второго поколения
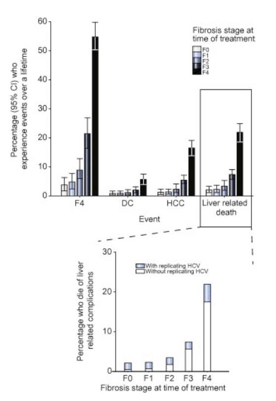
Эффект задержки начала лечения ВГС до более поздних стадиях фиброза печени показаны на рис. 3A. Процент моделируемых лиц, умерших от осложнений связанных с печенью, составил 2%, в случае начала лечения при стадии F0-F1. Однако, смертность выросла до 3% в случае откладывания лечения до стадии F2, до 7% при F3 и 22% при F4.

Рисунок 3. Сценарий ПППД.
A) Последствия отсрочки лечения ВГС. На рисунке показана процентная доля лиц страдающих циррозом (F4), декомпенсированным циррозом (ДЦ), гепатоцеллюлярной карциномой (ГЦК) и смертность связанная с поражениями печени при различных сценариях лечения.
B) Процентная доля лиц, умирающих от осложнений, связанных с патологиями печени независимо от репликации ВГС при стадиях фиброза F0-F4 по шкале METAVIR.
Менее 1% пациентов умерли после успешной терапии ВГС при изначальном уровне фиброза F0—F1. Число летальных исходов показало тенденцию к росту и увеличилось до 2%, в случае если начало терапии было отложено до стадии F2, 6% в случае F3 и 17% в случае F4. Значительная часть летальных исходов, связанных с патологиями печени, произошла на фоне отсутствия значимой репликации ВГС, в случае если терапия была отложена. Модель предполагала, что достижение УВО существенно снижает риск прогрессирования заболеваний печени, но не устраняет их. Медиана времени, связанная с репликацией ВГС, значительно увеличилась и показана на рисунке 4. Процентная доля лиц, умерших от осложнений, связанных с печенью, в зависимости от времени наблюдения после ВГС, показана в дополнительной таблице 2.
Рисунок 4. Медиана времени, связанная с репликацией ВГС.
Обсуждение и основные выводы
Отсрочка начала лечения ВГС на протяжении жизни до поздних стадий фиброза может существенно увеличить осложнения, связанные с возникновением хронических заболеваний печени, увеличить временное значение репликации ВГС и не дает возможности никоим образом снизить затраты на терапию и сэкономить деньги.
Во многих случаях именно из соображения стоимости и связанных с этим ограничений в возмещении расходов по линии медицинского страхования европейские органы здравоохранения дают рекомендацию откладывать начало лечения ВГС до стадии F3 или F4 по шкале METAVIR. Наша модель показала, что среди ВИЧ-положительной группы лиц МЖМ начало терапии ВГС на стадии F2 вместо отсрочки лечения до стадии F3 или F4 может предотвратить 4-19 смертей на 100 ВГС-инфекций. В сценарии, где все диагностированные лица проходят лечение ПППД на стадиях F3 или F4, большинство смертей были вызваны прогрессированием патологий печени, а не из-за отказа от лечения. Таким образом, если терапию отложить до развития значительного фиброза или цирроза печени, большинство смертей, связанных с патологиями печени, произойдет после успешного достижения УВО, ввиду того что фиброз может продолжить прогрессирование после успешной терапии. Соответственно, отсрочка начала лечения до значительного уровня фиброза увеличивала смертность во всех сценариях. Это весьма достоверно, ввиду того что многие факторы риска, связанные с фиброгенезом, включая токсичность наркотиков, употребление алкоголя, коинфекции или метаболические заболевания печени, сохраняются после успешного лечения ВГС. Кроме того, остается существенный риск возникновения ГЦК среди пациентов с циррозом печени после успешной терапии ВГС. Реинфекции наблюдались у 22% пациентов после спонтанного самоизлечения или успешной терапии ВГС. Как и ожидалось, польза от ранее проведенной терапии была частично нивелирована за счет реинфекций, а доля пациентов, перенесших неблагоприятные последствия, связанные с печенью, была значительно выше. Тем не менее, даже в худшем случае, предполагающем очень высокую вероятность реинфекции и отсутствие повторного лечения, ранее проведенная терапия существенно снижала осложнения, связанные с патологиями печени.
Было установлено, что начало терапии ВГС при стадии фиброза на уровне F2 вместо F3 или F4 позволило сократить время получения вирусологического ответа на 47-64% по сравнению с началом терапии в F1. Это может повысить качество лечения и существенно снизить риск дальнейшей передачи ВГС у лиц группы высокого риска, что особенно важно для ВИЧ-позитивных МЖМ, поскольку именно эта группа демонстрирует существенный рост передачи ВГС. Раннее начало проведения терапии может стать ценной стратегией по профилактике и борьбе с гепатитом С, сродни концепции профилактической терапии ВИЧ.
Наши расчеты по отношению к совокупным затратам убедительно показывают, что несмотря на очень высокую стоимость препаратов, раннее начало лечения не способно увеличить общие расходы, так как увеличение затрат общественным здравоохранением уравновешивается и даже существенно снижает затраты средств на борьбу с отдаленными последствиями, даже при условии, что стоимость терапии ПППД в ближайшие годы не снизятся.
Источник:
«Modelling the impact of deferring HCV treatment on liver-related complications in HIV coinfected men who have sex with men»
Journal of Hepatology. Volume 65, Issue 1, July 2016 , Pages 26-32
Коллектив авторов:
Cindy Zahnd, Luisa Salazar-Vizcaya, Jean François Dufour, Beat Müllhaupt, Gilles Wandeler, Roger Kouyos, Janne Estill, Barbara Bertisch, Andri Rauch, Olivia Keiser, Swiss HIV and Swiss Hepatitis C Cohort Studies
Institute of Social and Preventive Medicine (ISPM), University of Bern, Bern, Switzerland
Hepatology, University Clinic for Visceral Surgery and Medicine, University Hospital Bern, Bern, Switzerland
Department of Infectious Diseases, University of Dakar, Dakar, Senegal
Division of Infectious Diseases and Hospital Epidemiology, University Hospital Zurich and Institute of Medical Virology, University of Zurich, Switzerland
Department of Infectious Diseases, Inselspital, Bern University Hospital, University of Bern, Switzerland
Division of Infectious Diseases and Hospital Epidemiology, Cantonal Hospital, St-Gallen, Switzerland
Swiss Hepato-Pancreato-Biliary Center and Department of Gastroenterology and Hepatology, University Hospital Zürich, Switzerland
Вопрос-ответ
Когда выпустят лекарство от гепатита Б?
Как сообщают представители компании, клинические испытания на людях начнутся в ближайшее время, а первые результаты будут уже в 2025 году.
Чем проводят специфическую профилактику медицинскому работнику от гепатита С?
В целях профилактики случаев заражения вирусом гепатита С в медицинских организациях необходимо поддерживать достаточный запас медицинских изделий, в том числе одноразовых (шприцы, катетеры, санационные системы, дыхательные трубки и другие), лекарственных средств, перевязочного материала, средств индивидуальной защиты.
Как быстро гепатит В переходит в цирроз?
Хронический гепатит В может разрешиться без лечения (редко), быстро прогрессировать или медленно прогрессировать в цирроз в течение десятилетий.
Советы
СОВЕТ №1
Изучите все доступные данные о ВГС и его последствиях. Понимание заболевания и его прогрессии поможет вам лучше оценить риски, связанные с отсрочкой лечения.
СОВЕТ №2
Обсудите с врачом возможные варианты лечения и их временные рамки. Это позволит вам принять обоснованное решение о том, стоит ли откладывать лечение или начинать его как можно скорее.
СОВЕТ №3
Регулярно проходите обследования и следите за состоянием здоровья. Даже если вы решили отложить лечение, важно контролировать прогрессирование заболевания, чтобы вовремя реагировать на изменения.
СОВЕТ №4
Обратитесь за поддержкой к пациентским сообществам или группам, занимающимся ВГС. Общение с людьми, которые сталкиваются с аналогичными проблемами, может помочь вам лучше понять ситуацию и принять правильные решения.




